WowNews logo WOWnews
Stories
Subiecte și Barem Matematică Bacalaureat 2021
Subiecte și Barem Matematică Bacalaureat 2021

Actualitate

SUBIECTE ȘI BAREM Matematică Bacalaureat 2021. Ce subiecte au primit elevii de clasa a XII-a și a XIII-a la Matematică

Ce subiecte au avut de rezolvat elevii de liceu la matematică, la Bacalaureat 2021?

Elevii din clasele terminale de liceu susțin luni, 28 iunie, prima probă scrisă la Limba și Literatura Română, la examenul de Bacalaureat 2021. Marți, 29 iunie, candidații susțin proba obligatorie a profilului și dau examenul la matematică sau istorie.

Subiecte Matematică Bacalaureat 2021

Subiectele și baremele la matematică vor fi făcute publice de Ministerul Educației după încheierea examenului. 

Citeste si: Prima reacție a mamei Geta, după ce fiul său, Iancu Sterp, a fost acuzat de agresiune! Aceasta a lăsat un mesaj scurt și la obiect: "Așa spunea Părintele Arsenie Boca!" - kfetele.ro

Citeste si: Admitere 2021 Facultatea de Drept, din cadrul Universității București. Când are loc examenul și ce subiecte vor avea viitorii studenți la Drept

Subiectele la matematică Bac 2021 – specializarea mate-info

Subiectele la matematică Bac 2021 – specializarea mate-info
Subiectele la matematică Bac 2021 – specializarea mate-info

Subiectele la matematică Bac 2021 – specializarea mate-info
Subiectele la matematică Bac 2021 – specializarea mate-info

Subiectele la matematică Bac 2021 – specializarea științe ale naturii

Subiectele la matematică Bac 2021 – specializarea științe ale naturii
Subiectele la matematică Bac 2021 – specializarea științe ale naturii

Subiectele la matematică Bac 2021 – profil tehnologic

Subiectele la matematică Bac 2021 – profil tehnologic
Subiectele la matematică Bac 2021 – profil tehnologic

Subiectele la matematică Bac 2021 – profil pedagogic

Subiectele la matematică Bac 2021 – profil pedagogic
Subiectele la matematică Bac 2021 – profil pedagogic

Barem subiecte matematică Bac 2021 – specializarea mate-info

Barem subiecte matematică Bac 2021 – specializarea mate-info
Barem subiecte matematică Bac 2021 – specializarea mate-info

Barem subiecte matematică Bac 2021 – specializarea mate-info
Barem subiecte matematică Bac 2021 – specializarea mate-info

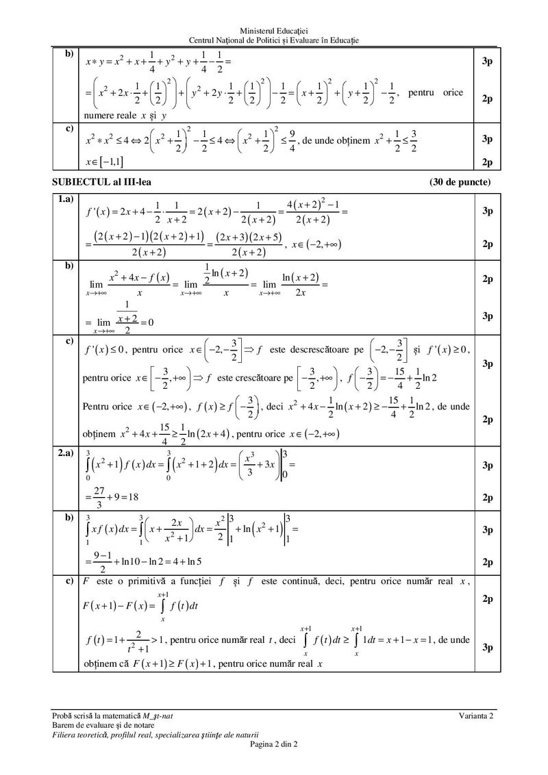
Barem subiecte matematică Bac 2021 – specializarea științe ale naturii

Barem subiecte matematică Bac 2021 – specializarea științe ale naturii
Barem subiecte matematică Bac 2021 – specializarea științe ale naturii

Barem subiecte matematică Bac 2021 – specializarea științe ale naturii
Barem subiecte matematică Bac 2021 – specializarea științe ale naturii

Barem subiecte matematică Bac 2021 – specializarea profil tehnologic

Barem subiecte matematică Bac 2021 – specializarea profil tehnologic
Barem subiecte matematică Bac 2021 – specializarea profil tehnologic

Barem subiecte matematică Bac 2021 – specializarea profil tehnologic
Barem subiecte matematică Bac 2021 – specializarea profil tehnologic

Barem subiecte matematică Bac 2021 – specializarea profil pedagogic

Barem subiecte matematică Bac 2021 – specializarea profil pedagogic
Barem subiecte matematică Bac 2021 – specializarea profil pedagogic

Barem subiecte matematică Bac 2021 – specializarea profil pedagogic
Barem subiecte matematică Bac 2021 – specializarea profil pedagogic

Calendar Bacalaureat 2021

Ministerul Educației a decis ca probele de competențe de la Bacalaureat 2021 să nu mai fie susținute fizic de elevi, ci să fie echivalate. Astfel, probele de evaluare a competențelor, programate în perioada 14-16 iunie, la Limba română, 16-17 iunie, la Limba maternă, 18-23 iunie, Competențe digitale, și 23-25 iunie, Limbă străină vor fi echivalate potrivit unui model de echivalare și recunoaștere folosit în anul trecut.

Citeste si: Admitere 2021 Universitatea Titu Maiorescu din București. Cu ce medie se intră la facultate și cum se face înscrierea

Citeste si: Care a fost reacția Ilenei Sterp, după ce fratele său, Iancu, a fost acuzat că a fost agresiv cu un bărbat? "Este momentul să spunem lucrurilor pe nume!" - kfetele.ro

Citeste si: Alimente bogate in B12. Surse de vitamina B12 - catena.ro

Citeste si: Veronica, declarații neașteptate despre Lia și DEZVĂLUIE partea pe care mulți nu au văzut-o despre colega ei: "Nu ai cum să...". Concurenta din Casa Iubirii scoate la iveală momente care NU au fost su

„Pentru anul școlar 2020 – 2021, probele de evaluare a competențelor lingvistice de comunicare orală în limba română, probele de evaluare a competențelor lingvistice de comunicare orală în limba maternă, pentru elevii care au urmat studiile liceale într-o limbă a minorităților naționale, probele de evaluare a competențelor lingvistice într-o limbă de circulație internațională studiată pe parcursul învățământului liceal și probele de evaluare a competențelor digitale se echivalează/se recunosc conform metodologiei aprobate prin ordin al ministrului educației, în termen de 15 zile de la intrarea în vigoare a prezentei ordonanțe de urgență”, se arată în proiectul Ministerului Educaţiei.

Sesiunea iunie – iulie 2021

  • 31 mai-4 iunie 2021: Înscrierea candidaților la prima sesiune de examen
  • 4 iunie 2021: Încheierea cursurilor pentru clasa a XII-a/a XIII-a
  • 28 iunie 2021: Limba și literatura română, proba E a) proba scrisă
  • 29 iunie 2021: Proba obligatorie a profilului, proba E.c) proba scrisă
  • 30 iunie 2021: Proba la alegere a profilului și specializării, proba E.d) proba scrisă
  • 1 iulie 2021: Limba și literatura maternă, proba E.b) proba scrisă
  • 5 iulie 2021: Afișarea rezultatelor la probele scrise până la ora 12:00 și depunerea contestațiilor în intervalul orar 12:00-18:00
  • 6-9 iulie 2021: Rezolvarea contestațiilor
  • 9 iulie 2021: Afișarea rezultatelor finale

Sesiunea august – septembrie

Elevii claselor terminale de liceu vor da examenul de bacalaureat în perioada iunie –iulie 2021, iar cei care nu vor promova din prima mai au o șansă în cea de-a doua sesiune, când examenul se va susține în perioada august-septembrie.

Citeste si: Admitere 2021 Universitatea Spiru Haret. Când se fac înscrierile și ce trebuie să conțină dosarul de admitere

  • 19 – 26 iulie 2021 – Înscrierea candidaților la a doua sesiune de examen, inclusiv a candidaților care au promovat examenele de corigențe
  • 16 august 2021 – Limba și literatura română – proba E.a) – proba scrisă
  • 17 august 2021 – Proba obligatorie a profilului – proba E.c) – proba scrisă
  • 18 august 2021 – Proba la alegere a profilului și specializării – proba E.d) – proba scrisă
  • 19 august 2021 – Limba și literatura maternă – proba E.b) – proba scrisă
  • 31 august 2021 – Afișarea rezultatelor la probele scrise (până la ora 12:00) și depunerea contestațiilor (orele 12:00 – 18:00)
  • 1- 3 septembrie 2021 – Rezolvarea contestațiilor
  • 3 septembrie 2021 – Afișarea rezultatelor finale la BAC 2021

Cine promovează Bacalaureatul 2021

Pentru a fi declarat promovat la examenul de bacalaureat, un candidat trebuie să îndeplinească mai multe condiții.

  • recunoaşterea/echivalarea/ susţinerea tuturor probelor de evaluare a competenţelor lingvistice şi digitale;
  • susţinerea tuturor probelor scrise şi obţinerea notei 5 (cel puţin) la fiecare dintre acestea;
  • obţinereamediei 6 (cel puţin) la probele scrise.

 

SURSE: edupedu.ro