WowNews logo WOWnews
Stories
Subiecte Bacalaureat 2022, edu.ro. Ce subiecte au picat la proba la alegere, profil real: Fizică, Chimie, Biologie, Anatomie sau Informatică
Subiecte Bacalaureat 2022, edu.ro. Ce subiecte au picat la proba la alegere, profil real: Fizică, Chimie, Biologie, Anatomie sau Informatică

Actualitate

UPDATE Subiecte Bacalaureat 2022, edu.ro. Ce subiecte au picat la proba la alegere, profil real: Fizică, Chimie, Biologie, Anatomie sau Informatică

Subiecte Bacalaureat 2022, edu.ro. Vezi ce subiecte au picat anul acesta la proba la alegere, profil real!

Subiecte Bacalaureat 2022, edu.ro. Ministerul Educației va publica subiectele la proba la alegere, profil real. Vezi ce exerciții au avut de rezolvat liceenii de clasele a 12-a și a 13-a la Fizică, Chimie, Biologie, Anatomie sau Informatică!

Subiecte proba la alegere BAC 2022. Subiecte BAC 2022. Fizică, Chimie, Biologie, Anatomie sau Informatică

Elevii de liceu de clasele a 12-a și a 13-a au susținut miercuri, 22 iunie, cea de-a treia probă din cadrul Examenului de Bacalaureat 2022. Luni, 20 iunie, a avut loc proba la Limba și Literatura Română, marți, 21 iunie, proba obligatorie a profilului, Matematică sau Istorie. În data de 23 iunie se va desfășura proba la Limba și Literatura Maternă.

Citeste si: A venit momentul lui Cătălin Cazacu să dea cărțile pe față! Ce a avut de spus sportivul, cu privire la controversa creată în jurul fostei sale relații cu Ramona Olaru? "Inelul este o chestie simbolică

Candidații de la profilul real prezenți azi la examen, au avut de ales în urmă cu ceva vreme dintre următoarele materii: Fizică, Chimie, Biologie, Anatomie sau Informatică. Vezi ce subiecte au avut de rezolvat aceștia!

Subiecte BAC 2022. Proba la alegere: Fizică – profil tehnologic

Subiecte BAC 2022. Proba la alegere: Fizică – profil teoretic

Subiecte BAC 2022. Proba la alegere: Chimie organică

Subiecte BAC 2022. Proba la alegere: Chimie organică

Subiecte BAC 2022. Proba la alegere: Chimie organică

Subiecte BAC 2022. Proba la alegere: Chimie anorganică

Subiecte BAC 2022. Proba la alegere: Chimie anorganică

Subiecte BAC 2022. Proba la alegere: Chimie anorganică

Subiecte BAC 2022. Proba la alegere: Biologie vegetală

Subiecte BAC 2022. Proba la alegere: Biologie vegetală

Subiecte BAC 2022. Proba la alegere: Biologie vegetală

Subiecte BAC 2022. Proba la alegere: Biologie vegetală

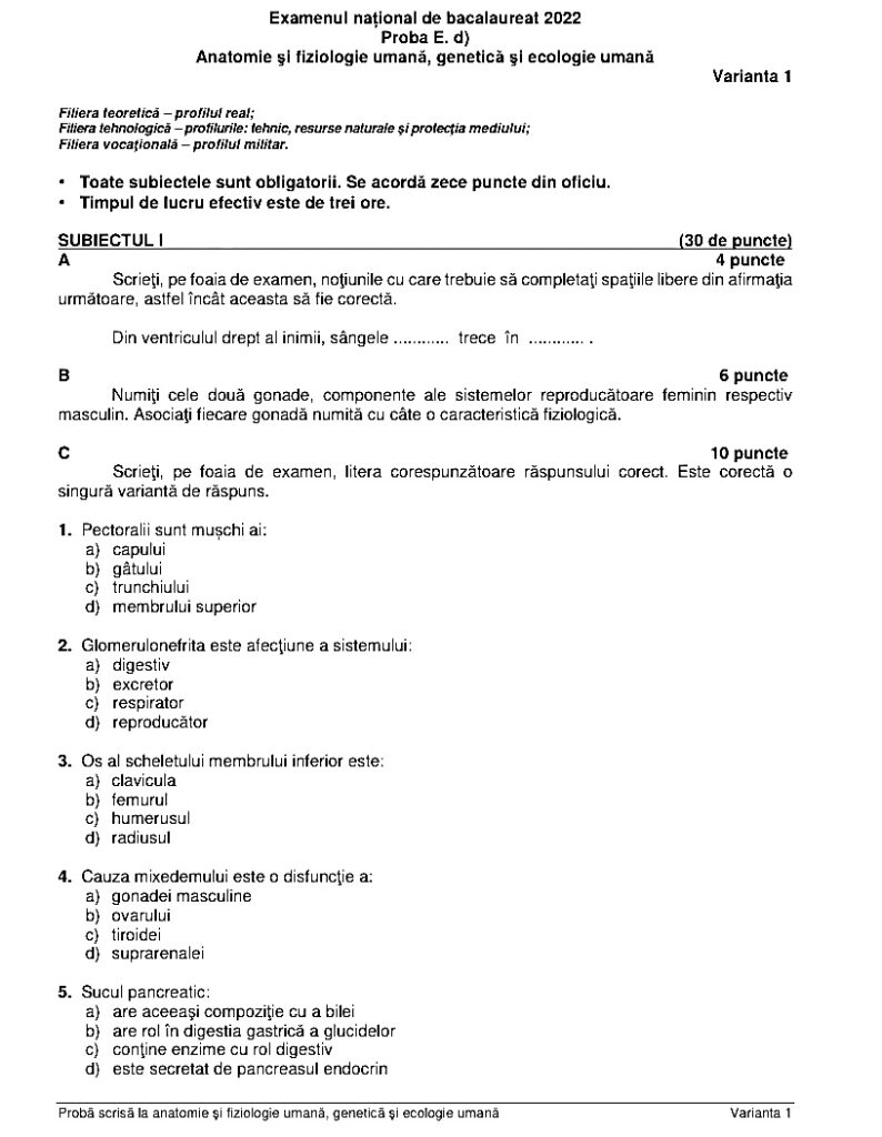
Subiecte BAC 2022. Proba la alegere: Anatomie umană

Subiecte BAC 2022. Proba la alegere: Informatică – specializare matematică – informatică

 

Subiecte BAC 2022. Proba la alegere: Informatică - specializare matematică - informatică

/www/cdn.knd.ro/media/521/2861/1683/20225498/1/info-mate-2.jpeg

Subiecte BAC 2022. Proba la alegere: Informatică - specializare matematică - informatică

Subiecte BAC 2022. Proba la alegere: Informatică - specializare matematică - informatică

Subiecte BAC 2022. Proba la alegere: Informatică – specializare științe ale naturii

 

Subiecte BAC 2022. Proba la alegere: Informatică - specializare științe ale naturii

Subiecte BAC 2022. Proba la alegere: Informatică - specializare științe ale naturii

Citeste si: În ce ape tulburi se află, în prezent, Cornel Pasat și soția sa, Bianca? Celebrul dansator a dat cărțile pe față și în ceea ce privește un conflict mai vechi cu CRBL! "Minus la calitatea umană!" - kfe

Citeste si: Durere in partea stanga a corpului – cauze si remedii - catena.ro

Citeste si: Un tânăr de 28 de ani a fost găsit mort într-un apartament. Anchetatorii, șocați de ceea CE AU VĂZUT în momentul când au intrat în casă. Vecinii nu și-ar fi imaginat o astfel de TRAGEDIE chiar în apro

Subiecte BAC 2022. Proba la alegere: Informatică - specializare științe ale naturii

Subiecte BAC 2022. Proba la alegere: Informatică - specializare științe ale naturii

Reguli BAC 2022

Examenul de bacalaureat are o serie de reguli stricte pe care candidații trebuie să le respecte, pentru a nu fi eliminați.

  • La Bac 2022, elevii de liceu nu au voie să intre în sala de examen având în posesie telefoane mobile, căști audio, mijloace electronice de calcul sau de comunicare ghiozdane, rucsace, sacoșe, poșete manuale, cărți, dicționare, culegeri, formulare, memoratoare notițe, însemnări, rezumate, ciorne lucrări ale altor candidați sau orice tip de document ce ar putea fi folosit pentru rezolvarea subiectelor.
  • Tinerii care se prezintă la examenul de Bacalaureat sunt obligați să lase toate obiectele menționate mai sus în sala de depozitare stabilită de comisia de bacalaureat în acest scop.
  • Elevii claselor terminale de liceu care refuză să depoziteze obiectele nu vor fi primiți în sala de examen și nu pot promova Bacalaureatul.
  • În timpul examenului, candidații nu au voie să vorbească între ei sau cu exteriorul, să copieze, să transmită materiale care permit copiatul sau să schimbe între ei foi din lucrare, ciorne, notițe sau alte materiale care ar putea fi folosite pentru rezolvarea subiectelor, pentru comunicare între candidați sau cu exteriorul.

Citeste si: Bacalaureat 2022. Modele de subiecte Informatică pentru BAC 2022

Noua structură a anului școlar 2022- 2023

Anul școlar 2022-2023 aduce schimbări importante în învățământ. Cele două semestre vor fi înlocuite de cinci module de învățare, iar întregul an școlar va cumula 36 de săptămâni de cursuri, durată ușor redusă pentru clasele terminale de gimnaziu și liceu.

  • 5 septembrie- 21 octombrie, cursuri (modul de învățare);
  • 22- 30 octombrie, vacanță;
  • 31 octombrie- 22 decembrie, cursuri;
  • 23 decembrie 2022- 8 ianuarie 2023, vacanța de iarnă;
  • 9 ianuarie- 3/ 10/ 17 februarie 2023 (dată ce va fi aleasă de inspectoratele școlare județene), cursuri;
  • în perioada 6- 26 februarie 2023 va fi o săptămână de vacanță, perioada exactă urmând să fie decisă de inspectoratele școlare județene/al municipiului București;
  • 13/ 20/ 27 februarie (la decizia inspectoratelor)- 6 aprilie 2023, cursuri;
  • 7- 18 aprilie 2023, vacanță de primăvară;
  • 19 aprilie- 16 iunie 2023, cursuri.

Vacanța de vară va începe în data de 17 iunie 2023, cu câteva excepții. Astfel, clasele a XII-a, a XIII-a vor încheia cursurile în data de 2 iunie 2023, iar clasa a VIII-a în data de 9 iunie 2023. Anul școlar 2023-2024 ar urma să înceapă pe 4 septembrie, notează avocatnet.ro.

Citeste si: Bacalaureat 2022. Modele de subiecte la Biologie pentru BAC 2022. Teste de antrenamente și bareme

Calendar Bacalaureat 2022 sesiunea iunie – iulie

  • 23 – 27 mai 2022 Înscrierea candidaților la prima sesiune de examen
  • 27 mai 2022 Încheierea cursurilor pentru clasa a XII-a/a XIII-a
  • 6 – 8 iunie 2022 Evaluarea competențelor lingvistice de comunicare orală în limba română — proba A
  • 8 – 9 iunie 2022 Evaluarea competențelor lingvistice de comunicare orală în limba maternă — proba B
  • 8 – 10 iunie 2022 Evaluarea competențelor digitale — proba D
  • 13 – 16 iunie 2022 Evaluarea competențelor lingvistice într-o limbă de circulație internațională — proba C
  • 20 iunie 2022 Limba și literatura română — proba E.a) — proba scrisă
  • 21 iunie 2022 Proba obligatorie a profilului — proba E.c) — proba scrisă
  • 22 iunie 2022 Proba la alegere a profilului și specializării — proba E.d) — proba scrisă
  • 23 iunie 2022 Limba și literatura maternă — proba E. b) — proba scrisă
  • 27 iunie 2022 Afișarea rezultatelor la probele scrise (până la ora 12:00) și depunerea contestațiilor în intervalul orar 12:00 – 18:00
  • 28 – 30 iunie 2022: Rezolvarea contestațiilor
  • 1 iulie 2022: Afișarea rezultatelor finale

Calendar Bacalaureat 2022 sesiunea august – septembrie

  • 18 – 25 iulie 2022: Înscrierea candidaților la a doua sesiune de examen, inclusiv a candidaților care au promovat examenele de corigențe
  • 16 august 2022 Limba și literatura română — proba E.a) — proba scrisă
  • 17 august 2022 Proba obligatorie a profilului — proba E.c) — proba scrisă
  • 18 august 2022 Proba la alegere a profilului și specializării —– proba E.d) — proba scrisă
  • 19 august 2022 Limba și literatura maternă — proba E.b) — proba scrisă
  • 22 – 23 august 2022 Evaluarea competențelor lingvistice de comunicare orală în limba română — proba A
  • 24 august 2022 Evaluarea competențelor lingvistice de comunicare orală în limba maternă — proba B
  • 25 august 2022 Evaluarea competențelor digitale — proba D
  • 26 și 29 august 2022 Evaluarea competențelor lingvistice într-o limbă de circulație internațională — proba C
  • 31 august 2022: Afișarea rezultatelor la probele scrise (până la ora 12:00) și depunerea contestațiilor (orele 12:00 – 18:00)
  • 1 – 2 septembrie 2022: Rezolvarea contestațiilor
  • 3 septembrie 2022: Afișarea rezultatelor finale

 

Surse: edu.ro, edupedu.ro