WowNews logo WOWnews
Stories
BAC 2021. Barem de corectare la Geografie, Filosofie, Sociologie, Logică, Economie şi Psihologie
BAC 2021. Barem de corectare la Geografie, Filosofie, Sociologie, Logică, Economie şi Psihologie

Actualitate

Barem BAC 2021 - Proba la alegere, profil uman. Grila de corectare a subiectelor la Geografie, Filosofie, Sociologie, Logică, Economie şi Psihologie, la Bacalaureat 2021

Cum se corectează subiectele de la proba la alegere a profilului uman? Barem de corectare la Geografie, Filosofie, Sociologie, Logică, Economie şi Psihologie la BAC 2021.

Absolvenții claselor a XII-a şi a XII-a au susținut miercuri, 30 iunie, proba la alegere a profilului și specializării la examenul de Bacalaureat 2021. Candidații de la profilul uman au avut de ales dintre următoarele materii: Geografie, Filosofie, Sociologie, Logică, Economie şi Psihologie. 

BAC 2021. Barem de corectare la Geografie, Filosofie, Sociologie, Logică, Economie şi Psihologie

Subiectele la Geografie, Filosofie, Sociologie, Logică, Economie şi Psihologie au fost afișate pe site-ul MEC în urmă cu puțin timp, după încheierea examenului. Ministerul Educației va publica baremul de corectare la Geografie, Filosofie, Logică, Economie şi Psihologie pentru BAC 2021. 

Citeste si: A venit momentul lui Cătălin Cazacu să dea cărțile pe față! Ce a avut de spus sportivul, cu privire la controversa creată în jurul fostei sale relații cu Ramona Olaru? "Inelul este o chestie simbolică

Citeste si: Calendar admitere facultate 2021. Când se fac înscrierile la facultate și ce documente sunt necesare pentru admitere

Barem Geografie BAC 2021

Barem Geografie BAC 2021
Barem Geografie BAC 2021

Barem Geografie BAC 2021
Barem Geografie BAC 2021

Barem Economie BAC 2021

Barem Economie BAC 2021
Barem Economie BAC 2021

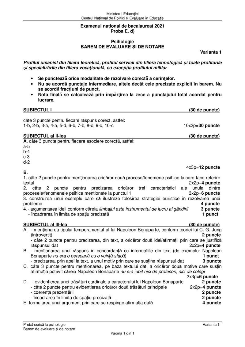
Barem Psihologie BAC 2021

Barem Psihologie BAC 2021
Barem Psihologie BAC 2021

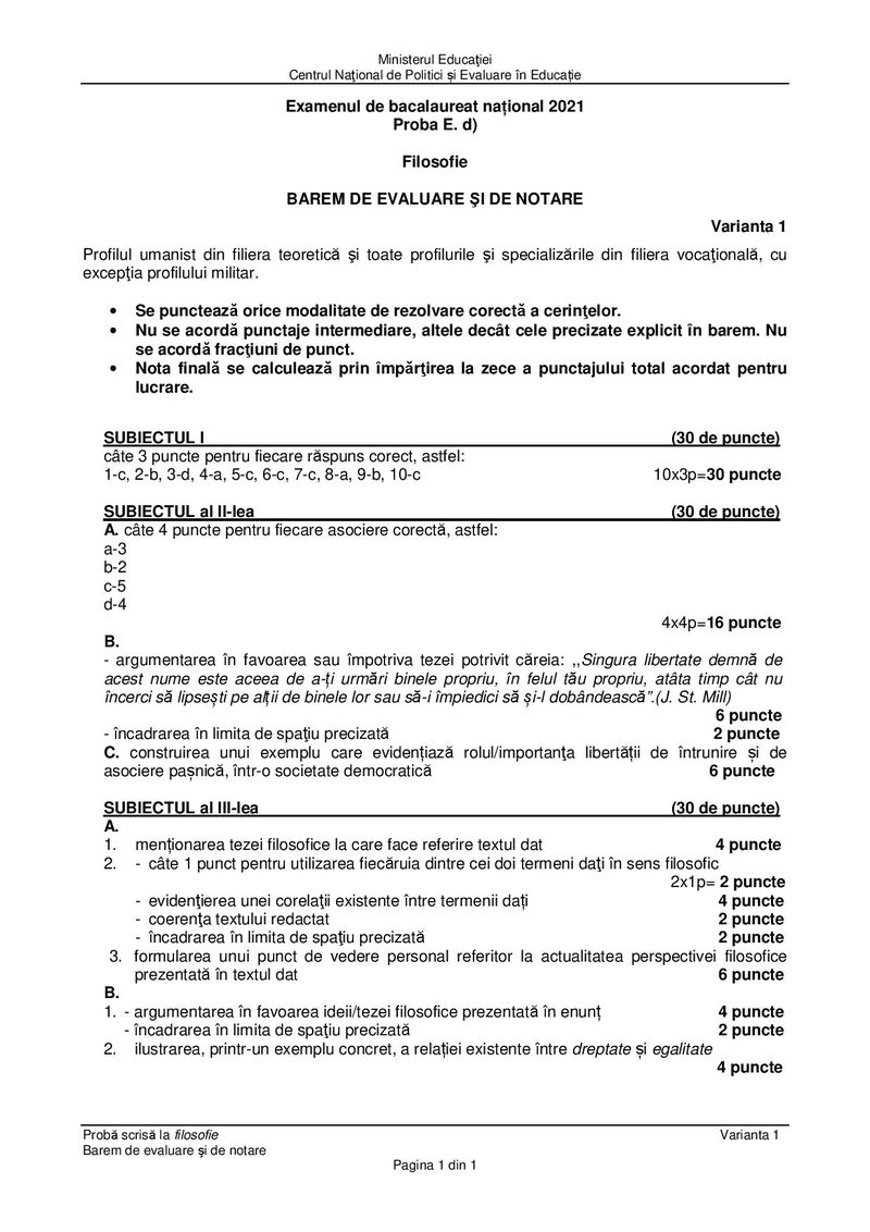
Barem Filosofie BAC 2021

Barem Filosofie BAC 2021
Barem Filosofie BAC 2021

Barem Logică şi argumentare BAC 2021

Barem Logică şi argumentare BAC 2021
Barem Logică şi argumentare BAC 2021

Barem Logică şi argumentare BAC 2021
Barem Logică şi argumentare BAC 2021

Barem Sociologie BAC 2021

Barem Sociologie BAC 2021
Barem Sociologie BAC 2021

Calendar Bacalaureat 2021

Elevii claselor terminale de liceu vor da examenul de bacalaureat în perioada iunie –iulie 2021, iar cei care nu vor promova din prima mai au o șansă în cea de-a doua sesiune, când examenul se va susține în perioada august-septembrie.

Citeste si: Admitere facultate 2021 sesiunea de toamnă. Când încep înscrierile la Universitatea București

Ministerul Educației a decis ca probele de competențe de la Bacalaureat 2021 să nu mai fie susținute fizic de elevi, ci să fie echivalate. Astfel, probele de evaluare a competențelor, programate în perioada 14-16 iunie, la Limba română, 16-17 iunie, la Limba maternă, 18-23 iunie, Competențe digitale, și 23-25 iunie, Limbă străină vor fi echivalate potrivit unui model de echivalare și recunoaștere folosit în anul trecut.

„Pentru anul școlar 2020 – 2021, probele de evaluare a competențelor lingvistice de comunicare orală în limba română, probele de evaluare a competențelor lingvistice de comunicare orală în limba maternă, pentru elevii care au urmat studiile liceale într-o limbă a minorităților naționale, probele de evaluare a competențelor lingvistice într-o limbă de circulație internațională studiată pe parcursul învățământului liceal și probele de evaluare a competențelor digitale se echivalează/se recunosc conform metodologiei aprobate prin ordin al ministrului educației, în termen de 15 zile de la intrarea în vigoare a prezentei ordonanțe de urgență”, se arată în proiectul Ministerului Educaţiei.

Sesiunea iunie – iulie 2021

31 mai-4 iunie 2021: Înscrierea candidaților la prima sesiune de examen

4 iunie 2021: Încheierea cursurilor pentru clasa a XII-a/a XIII-a

28 iunie 2021: Limba și literatura română, proba E a) proba scrisă

29 iunie 2021: Proba obligatorie a profilului, proba E.c) proba scrisă

30 iunie 2021: Proba la alegere a profilului și specializării, proba E.d) proba scrisă

1 iulie 2021: Limba și literatura maternă, proba E.b) proba scrisă

5 iulie 2021: Afișarea rezultatelor la probele scrise până la ora 12:00 și depunerea contestațiilor în intervalul orar 12:00-18:00

6-9 iulie 2021: Rezolvarea contestațiilor

9 iulie 2021: Afișarea rezultatelor finale

Citeste si: La ce facultate poți intra cu media de la BAC 2021. Lista facultăților unde se intră fără examen

Citeste si: În ce ape tulburi se află, în prezent, Cornel Pasat și soția sa, Bianca? Celebrul dansator a dat cărțile pe față și în ceea ce privește un conflict mai vechi cu CRBL! "Minus la calitatea umană!" - kfe

Citeste si: Ce cantitate de lapte consuma un bebelus? Tabel cantitate lapte bebelusi - catena.ro

Citeste si: Un tânăr de 28 de ani a fost găsit mort într-un apartament. Anchetatorii, șocați de ceea CE AU VĂZUT în momentul când au intrat în casă. Vecinii nu și-ar fi imaginat o astfel de TRAGEDIE chiar în apro

Sesiunea august – septembrie

19 – 26 iulie 2021 – Înscrierea candidaților la a doua sesiune de examen, inclusiv a candidaților care au promovat examenele de corigențe

16 august 2021 – Limba și literatura română – proba E.a) – proba scrisă

17 august 2021 – Proba obligatorie a profilului – proba E.c) – proba scrisă

18 august 2021 – Proba la alegere a profilului și specializării – proba E.d) – proba scrisă

19 august 2021 – Limba și literatura maternă – proba E.b) – proba scrisă

31 august 2021 – Afișarea rezultatelor la probele scrise (până la ora 12:00) și depunerea contestațiilor (orele 12:00 – 18:00)

1- 3 septembrie 2021 – Rezolvarea contestațiilor

3 septembrie 2021 – Afișarea rezultatelor finale la BAC 2021

 

SURSE: edupedu.ro