WowNews logo WOWnews
Stories
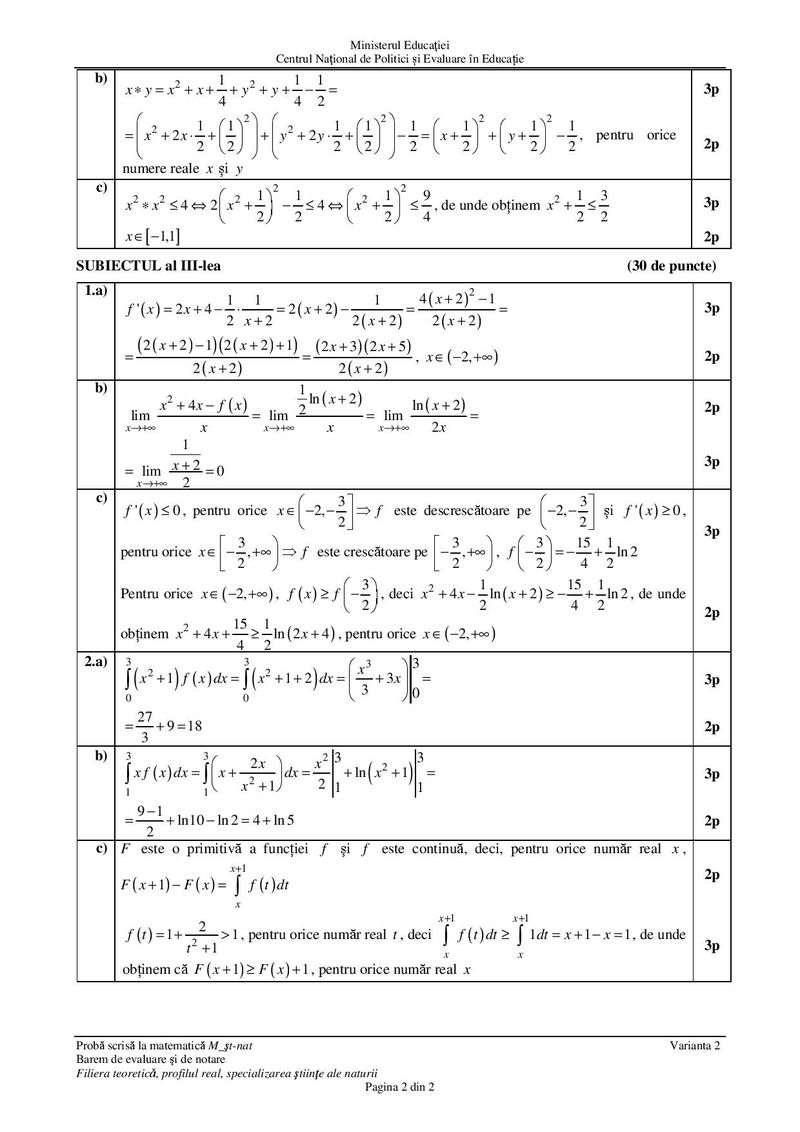
Barem Matematică BAC 2021
Barem Matematică BAC 2021

Actualitate

Barem Matematică BAC 2021. Grila de corectare a subiectelor la matematică la examenul de Bacalaureat 2021

Elevii de clasa a XII-a și XIII-a susțin marți, 29 iunie, probă scrisă la matematică la examenul de Bacalaureat 2021!

Absolvenții claselor a XII-a şi a XII-a au susținut marți, 29 iunie, proba scrisă la matematică la examenul de Bacalaureatul 2021, subiectele fiind diferite în funcţie de filiera, profilul și specializarea pe care le urmează.

Barem Matematică BAC 2021

Peste 133.000 de absolvenţi de liceu vor susţine examenul de Bacalaureat 2021 în 802 centre. Pentru susţinerea probelor scrise s-au înscris 133.663 de candidaţi, dintre care 114.137 de candidaţi din promoţia curentă, iar 19.526 de candidaţi din promoţiile anterioare. Ministerul Educației va publica subiectele și baremul de corectare la matematică pentru BAC 2021. 

Citeste si: Motivul pentru care Iancu Sterp a plecat în Turcia, la scurt timp după ce a primit acuzații grave de agresiune! De cine a fost însoțit fratele lui Culiță Sterp: „Am fugit...” - kfetele.ro

Urări pentru Bacalaureat. Ce mesaje să îi scrii unui elev care a promovat BAC-ul

Subiectele la matematică Bac 2021 – specializarea mate-info

Subiectele la matematică Bac 2021 – specializarea mate-info
Subiectele la matematică Bac 2021 – specializarea mate-info

Subiectele la matematică Bac 2021 – specializarea mate-info
Subiectele la matematică Bac 2021 – specializarea mate-info

Subiectele la matematică Bac 2021 – specializarea științe ale naturii

Subiectele la matematică Bac 2021 – specializarea științe ale naturii
Subiectele la matematică Bac 2021 – specializarea științe ale naturii

Subiectele la matematică Bac 2021 – profil tehnologic

Subiectele la matematică Bac 2021 – profil tehnologic
Subiectele la matematică Bac 2021 – profil tehnologic

Subiectele la matematică Bac 2021 – profil pedagogic

Subiectele la matematică Bac 2021 – profil pedagogic
Subiectele la matematică Bac 2021 – profil pedagogic

Barem subiecte matematică Bac 2021 – specializarea mate-info

Barem subiecte matematică Bac 2021 – specializarea mate-info
Barem subiecte matematică Bac 2021 – specializarea mate-info

Barem subiecte matematică Bac 2021 – specializarea mate-info
Barem subiecte matematică Bac 2021 – specializarea mate-info

Barem subiecte matematică Bac 2021 – specializarea științe ale naturii

Barem subiecte matematică Bac 2021 – specializarea științe ale naturii
Barem subiecte matematică Bac 2021 – specializarea științe ale naturii

Barem subiecte matematică Bac 2021 – specializarea științe ale naturii
Barem subiecte matematică Bac 2021 – specializarea științe ale naturii

Barem subiecte matematică Bac 2021 – specializarea profil tehnologic

Barem subiecte matematică Bac 2021 – specializarea profil tehnologic
Barem subiecte matematică Bac 2021 – specializarea profil tehnologic

Barem subiecte matematică Bac 2021 – specializarea profil tehnologic
Barem subiecte matematică Bac 2021 – specializarea profil tehnologic

Barem subiecte matematică Bac 2021 – specializarea profil pedagogic

Barem subiecte matematică Bac 2021 – specializarea profil pedagogic
Barem subiecte matematică Bac 2021 – specializarea profil pedagogic

Barem subiecte matematică Bac 2021 – specializarea profil pedagogic
Barem subiecte matematică Bac 2021 – specializarea profil pedagogic

Calendar Bacalaureat 2021

Elevii claselor terminale de liceu vor da examenul de bacalaureat în perioada iunie –iulie 2021, iar cei care nu vor promova din prima mai au o șansă în cea de-a doua sesiune, când examenul se va susține în perioada august-septembrie.

Citeste si: La ce facultate poți intra cu media de la BAC 2021. Lista facultăților unde se intră fără examen

Ministerul Educației a decis ca probele de competențe de la Bacalaureat 2021 să nu mai fie susținute fizic de elevi, ci să fie echivalate. Astfel, probele de evaluare a competențelor, programate în perioada 14-16 iunie, la Limba română, 16-17 iunie, la Limba maternă, 18-23 iunie, Competențe digitale, și 23-25 iunie, Limbă străină vor fi echivalate potrivit unui model de echivalare și recunoaștere folosit în anul trecut.

Sesiunea iunie – iulie 2021

31 mai-4 iunie 2021: Înscrierea candidaților la prima sesiune de examen

4 iunie 2021: Încheierea cursurilor pentru clasa a XII-a/a XIII-a

28 iunie 2021: Limba și literatura română, proba E a) proba scrisă

29 iunie 2021: Proba obligatorie a profilului, proba E.c) proba scrisă

30 iunie 2021: Proba la alegere a profilului și specializării, proba E.d) proba scrisă

1 iulie 2021: Limba și literatura maternă, proba E.b) proba scrisă

5 iulie 2021: Afișarea rezultatelor la probele scrise până la ora 12:00 și depunerea contestațiilor în intervalul orar 12:00-18:00

6-9 iulie 2021: Rezolvarea contestațiilor

9 iulie 2021: Afișarea rezultatelor finale

Citeste si: Calendar admitere facultate 2021. Când se fac înscrierile la facultate și ce documente sunt necesare pentru admitere

Citeste si: Prima reacție a mamei Geta, după ce fiul său, Iancu Sterp, a fost acuzat de agresiune! Aceasta a lăsat un mesaj scurt și la obiect: "Așa spunea Părintele Arsenie Boca!" - kfetele.ro

Citeste si: Alimente bogate in B12. Surse de vitamina B12 - catena.ro

Citeste si: Ahmed îl atacă DUR pe Robert: "Ești cel mai urât concurent din istoria casei iubirii" NU O SĂ ÎȚI VINĂ SĂ CREZI de la ce a pornit conflictul! Tensiunea a fost atât de mare încât colegii au intervenit

Sesiunea august – septembrie

19 – 26 iulie 2021 – Înscrierea candidaților la a doua sesiune de examen, inclusiv a candidaților care au promovat examenele de corigențe

16 august 2021 – Limba și literatura română – proba E.a) – proba scrisă

17 august 2021 – Proba obligatorie a profilului – proba E.c) – proba scrisă

18 august 2021 – Proba la alegere a profilului și specializării – proba E.d) – proba scrisă

19 august 2021 – Limba și literatura maternă – proba E.b) – proba scrisă

31 august 2021 – Afișarea rezultatelor la probele scrise (până la ora 12:00) și depunerea contestațiilor (orele 12:00 – 18:00)

1- 3 septembrie 2021 – Rezolvarea contestațiilor

3 septembrie 2021 – Afișarea rezultatelor finale la BAC 2021

Reguli Bac 2021

Examenul de bacalaureat are o serie de reguli stricte pe care candidații trebuie să le respecte, pentru a nu fi eliminați.

  • La Bac 2021, elevii de liceu nu au voie să intre în sala de examen având în posesie telefoane mobile, căști audio, mijloace electronice de calcul sau de comunicare ghiozdane, rucsace, sacoșe, poșete manuale, cărți, dicționare, culegeri, formulare, memoratoare notițe, însemnări, rezumate, ciorne lucrări ale altor candidați sau orice tip de document ce ar putea fi folosit pentru rezolvarea subiectelor.
  • Tinerii care se prezintă la examenul de Bacalaureat sunt obligați să lase toate obiectele menționate mai sus în sala de depozitare stabilită de comisia de bacalaureat în acest scop.
  • Elevii claselor terminale de liceu care refuză să depoziteze obiectele nu vor fi primiți în sala de examen și nu pot promova Bacalaureatul.
  • În timpul examenului, candidații nu au voie să vorbească între ei sau cu exteriorul, să copieze, să transmită materiale care permit copiatul sau să schimbe între ei foi din lucrare, ciorne, notițe sau alte materiale care ar putea fi folosite pentru rezolvarea subiectelor, pentru comunicare între candidați sau cu exteriorul.

 

SURSE: edupedu.ro