WowNews logo WOWnews
Stories
Modele de subiecte simulare Matematica Bacalaureat 2022
Modele de subiecte simulare Matematica Bacalaureat 2022

Actualitate

Simulare BAC 2022 matematică. Modele de subiecte publicate de edu.ro la Matematică pentru simularea Bacalaureatului 2022

Modele de subiecte simulare Matematică Bacalaureat 2022. Teste de antrenament și bareme.

Simulare Bacalaureat 2022. Modele de subiecte la Matematică. Teste de antrenament și bareme de corectare pentru toate profilurile. 

Simulare Bacalaureat 2022. Modele de subiecte la Matematică

Ministerul Educației a transmis că simulările pentru examenele de la Bacalaureat 2022 vor avea loc în perioada martie-aprilie 2022.

Citeste si: Igor Cuciuc își plângea amarul în direct, în urmă cu câteva luni. Artistul se afla la capătul puterilor: “Perna noastră a fost udă în fiecare seară de lacrimile mamei și lacrimile tatălui.” - kfetele

Potrivit Ministerului Educației, la Simularea Bacalaureatului 2022, probele vor începe la ora 9:00, însă elevii vor putea intra în săli de la ora 8:30.

  • Simulare Bacalaureat 2022. Model subiect profil matematică- informatică

Simulare Bacalaureat 2022. Modele de subiecte la Matematică
Simulare Bacalaureat 2022. Modele de subiecte la Matematică[Sursa foto: edu.ro]

Citeste si: Simulare Bacalaureat 2022. Modele de subiecte la Limba și literatura română

Simulare Bacalaureat 2022. Modele de subiecte la Matematică
Simulare Bacalaureat 2022. Modele de subiecte la Matematică[Sursa foto: edu.ro]

  • Simulare Bacalaureat 2022. Model subiect profil pedagogic

Simulare Bacalaureat 2022. Modele de subiecte la Matematică
Simulare Bacalaureat 2022. Modele de subiecte la Matematică[Sursa foto: edu.ro]

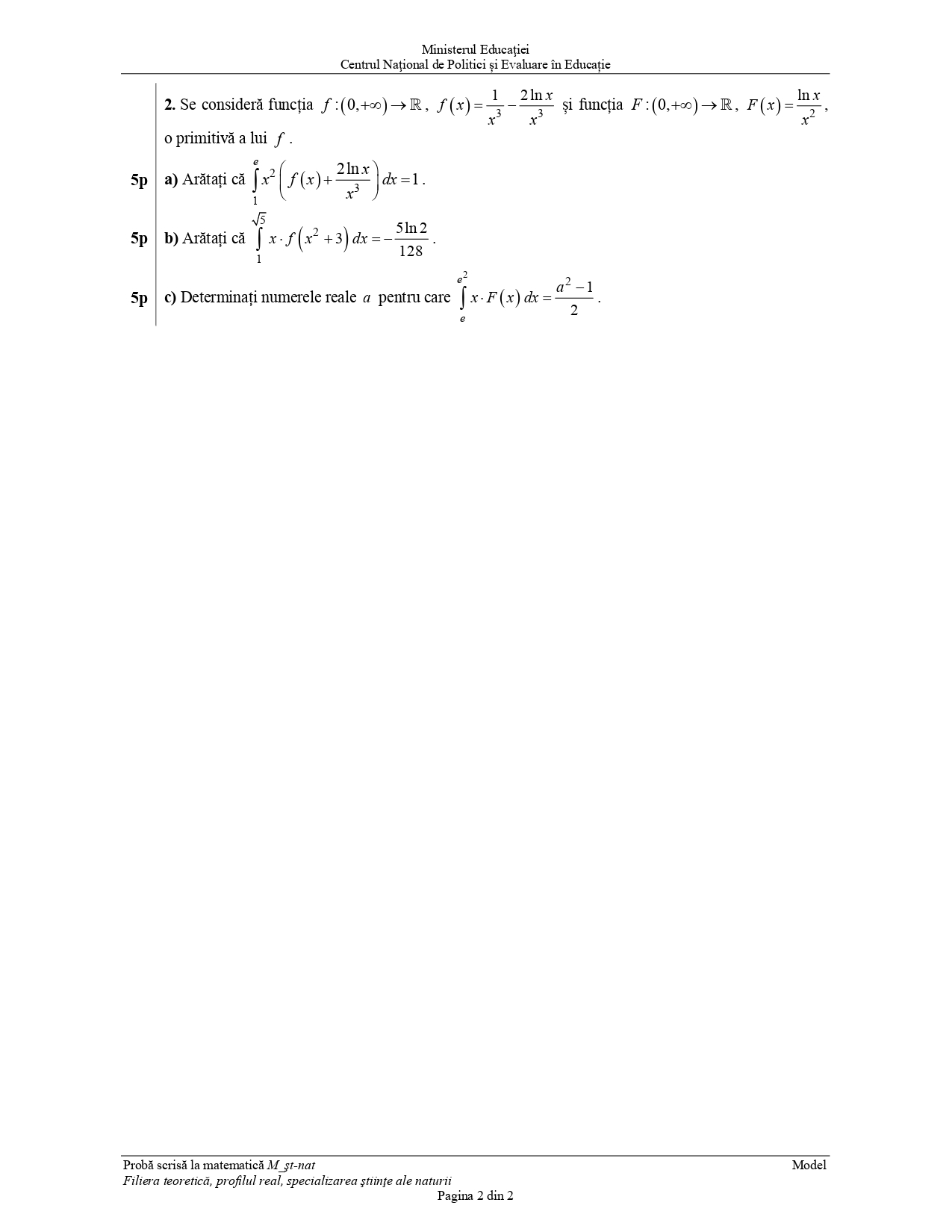
  • Simulare Bacalaureat 2022. Model subiect profil științele naturii

Simulare Bacalaureat 2022. Modele de subiecte la Matematică
Simulare Bacalaureat 2022. Modele de subiecte la Matematică[Sursa foto: edu.ro]

Citeste si: Calendar Simulare BAC 2022. Vezi pe ce dată au loc probele pentru elevii de liceu

Simulare Bacalaureat 2022. Modele de subiecte la Matematică
Simulare Bacalaureat 2022. Modele de subiecte la Matematică[Sursa foto: edu.ro]

  • Simulare Bacalaureat 2022. Model subiect profil tehnologic

Simulare Bacalaureat 2022. Modele de subiecte la Matematică
Simulare Bacalaureat 2022. Modele de subiecte la Matematică[Sursa foto: edu.ro]

Simulare Bacalaureat 2022. Barem de corectare

În baza baremului, candidații la simulare Bacalaureat își pot aprecia lucrarea și vor avea o idee despre nota pe care o pot primi.

  • Simulare Bacalaureat 2022. Barem corectare profil matematică- informatică

Simulare Bacalaureat 2022. Barem de corectare
Simulare Bacalaureat 2022. Barem de corectare[Sursa foto: edu.ro]

Citeste si: Simulare Evaluarea Națională 2022. Vezi când au loc probele pentru elevii de gimnaziu

Simulare Bacalaureat 2022. Modele de subiecte la Matematică
Simulare Bacalaureat 2022. Modele de subiecte la Matematică[Sursa foto: edu.ro]

  • Simulare Bacalaureat 2022. Barem corectare profil pedagogic

Simulare Bacalaureat 2022. Barem de corectare
Simulare Bacalaureat 2022. Barem de corectare[Sursa foto: edu.ro]

Citeste si: Conflictul între familiile Cuciuc și Botgros contiunuă. Cristi Botgros ajunge la audieri. Ce ar fi făcut tânărul în timp ce Andreea era jos: “Cel mai neomenește mi se pare să dai scrum de țigară...” -

Citeste si: Durere in partea stanga a corpului – cauze si remedii - catena.ro

Citeste si: Ce s-a întâmplat între Dorobanțu și Kira e peste orice limită: "Bă, vorbește frumos, nu îmi vorbi mie cu bă ăsta" Moldo a răbufnit DUR, iar producția a intervenit de urgență: "Atenție la ton" Ce CONSE

Simulare Bacalaureat 2022. Barem de corectare
Simulare Bacalaureat 2022. Barem de corectare[Sursa foto: edu.ro]

  • Simulare Bacalaureat 2022. Barem corectare profil științele naturii

Simulare Bacalaureat 2022. Barem de corectare
Simulare Bacalaureat 2022. Barem de corectare[Sursa foto: edu.ro]

Simulare Bacalaureat 2022. Barem de corectare
Simulare Bacalaureat 2022. Barem de corectare[Sursa foto: edu.ro]

  • Simulare Bacalaureat 2022. Barem corectare profil tehnologic

Simulare Bacalaureat 2022. Barem de corectare
Simulare Bacalaureat 2022. Barem de corectare[Sursa foto: edu.ro]

Simulare Bacalaureat 2022. Barem de corectare
Simulare Bacalaureat 2022. Barem de corectare[Sursa foto: edu.ro]

Calendar Bacalaureat 2022. Sesiunea de vară

  • 23 – 27 mai 2022 – Înscrierea candidaților la prima sesiune de examen
  • 27 mai 2022 – Încheierea cursurilor pentru clasa a XII-a/a XIII-a
  • 6 – 8 iunie 2022 – Evaluarea competențelor lingvistice de comunicare orală în limba română — proba A
  • 8 – 9 iunie 2022 – Evaluarea competențelor lingvistice de comunicare orală în limba maternă — proba B
  • 9 – 10 iunie 2022 – Evaluarea competențelor digitale — proba D
  • 13 – 15 iunie 2022 – Evaluarea competențelor lingvistice într-o limbă de circulație internațională — proba C
  • 20 iunie 2022 – Limba și literatura română — proba E.a) — proba scrisă
  • 21 iunie 2022 – Proba obligatorie a profilului — proba E.c) — proba scrisă
  • 22 iunie 2022 – Proba la alegere a profilului și specializării — proba E.d) — proba scrisă
  • 23 iunie 2022 – Limba și literatura maternă — proba E.b) — proba scrisă
  • 27 iunie 2022 – Afișarea rezultatelor la probele scrise (până la ora 12:00) și depunerea contestațiilor în intervalul orar 12:00 – 18:00
  • 28 – 30 iunie 2022 – Rezolvarea contestațiilor
  • 1 iulie 2022 – Afișarea rezultatelor finale

Calendarul Bacalaureat 2022. Sesiunea de toamnă

  • 18 – 25 iulie 2022: Înscrierea candidaților la a doua sesiune de examen, inclusiv a candidaților care au promovat examenele de corigențe
  • 16 august 2022 Limba și literatura română — proba E.a) — proba scrisă
  • 17 august 2022 Proba obligatorie a profilului — proba E.c) — proba scrisă
  • 18 august 2022 Proba la alegere a profilului și specializării —– proba E.d) — proba scrisă
  • 19 august 2022 Limba și literatura maternă — proba E.b) — proba scrisă
  • 22 – 23 august 2022 Evaluarea competențelor lingvistice de comunicare orală în limba română — proba A
  • 24 august 2022 Evaluarea competențelor lingvistice de comunicare orală în limba maternă — proba B 25 august 2022 Evaluarea competențelor digitale — proba D
  • 26 și 29 august 2022 Evaluarea competențelor lingvistice într-o limbă de circulație internațională — proba C
  • 31 august 2022: Afișarea rezultatelor la probele scrise (până la ora 12:00) și depunerea contestațiilor (orele 12:00 – 18:00)
  • 1 – 2 septembrie 2022: Rezolvarea contestațiilor
  • 3 septembrie 2022: Afișarea rezultatelor finale

Sursa: edu.ro