WowNews logo WOWnews
Stories
Subiecte Fizică, Chimie, Biologie, Anatomie sau Informatică la BAC 2021
Subiecte Fizică, Chimie, Biologie, Anatomie sau Informatică la BAC 2021

Actualitate

BACALAUREAT 2021. Subiecte și barem proba la alegere, profil real: Fizică, Chimie, Biologie, Anatomie sau Informatică, la BAC 2021

Ce subiecte au primit elevii claselor a 12-a și a 13-a la proba la alegere, la examenul de Bacalaureat 2021?

Elevii din clasele terminale de liceu au susținut luni, 28 iunie, prima probă scrisă la Limba și Literatura Română, la examenul de Bacalaureat 2021. Marți, 29 iunie, candidații au dat proba obligatorie a profilului, la matematică sau istorie, iar miercuri, pe 30 iunie, absolvenții susțin proba la alegere a profilului și specializării.

Subiecte Fizică, Chimie, Biologie, Anatomie sau Informatică la BAC 2021

Elevii din clasele a 12-a și a 13-a susțin miercuri proba la alegere, pentru examenul de Bacalaureat 2021. Astfel, candidații de la profilul real au dat examenul Fizică, Chimie, Biologie, Anatomie sau Informatică. Subiectele și baremele vor fi făcute publice de Ministerul Educației după încheierea examenului. 

Citeste si: A venit momentul lui Cătălin Cazacu să dea cărțile pe față! Ce a avut de spus sportivul, cu privire la controversa creată în jurul fostei sale relații cu Ramona Olaru? "Inelul este o chestie simbolică

Citeste si: Admitere 2021 Academia de Studii Economice, București. Calendarul admiterii, oferte de locuri, ce trebuie să conțină dosarul de înscriere

Peste 133.000 de absolvenţi de liceu vor susţine examenul de Bacalaureat 2021 în 802 centre. Pentru susţinerea probelor scrise s-au înscris 133.663 de candidaţi, dintre care 114.137 de candidaţi din promoţia curentă, iar 19.526 de candidaţi din promoţiile anterioare.

Subiecte BAC 2021. Proba la alegere: Fizică – profil tehnologic

Subiecte BAC 2021. Proba la alegere: Fizică- profil teoretic

 

Subiecte BAC 2021. Proba la alegere: Informatică -specializare matematică-informatică 

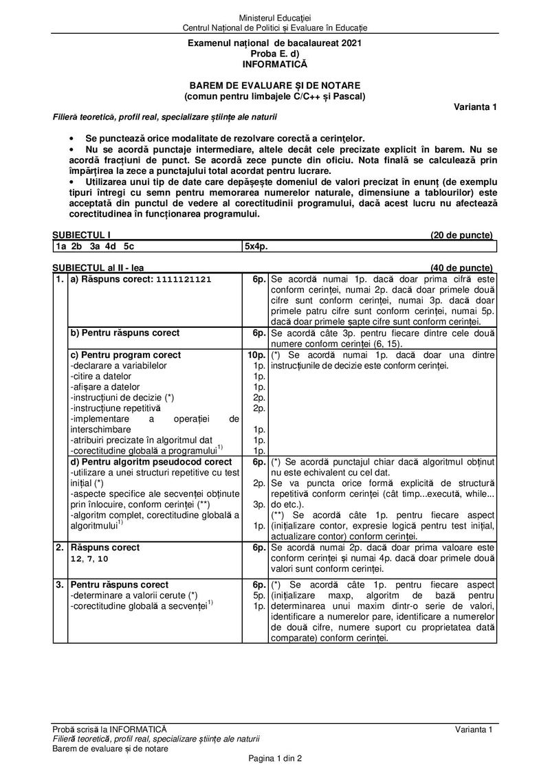
Subiecte BAC 2021. Proba la alegere: Informatică – specializare științe ale naturii

Subiecte BAC 2021. Proba la alegere: Chimie organică

 

Subiecte BAC 2021. Proba la alegere: Chimie anorganică

Subiecte BAC 2021. Proba la alegere: Anatomie umană

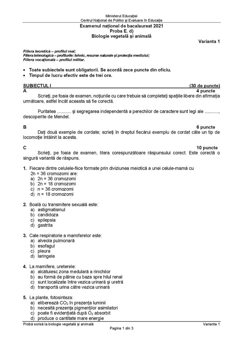
Subiecte BAC 2021. Proba la alegere: Biologie vegetală

 

Barem BAC 2021. Proba la alegere: Fizică – profil tehnologic

Barem BAC 2021. Proba la alegere: Fizică - profil tehnologic
Barem BAC 2021. Proba la alegere: Fizică - profil tehnologic

Barem BAC 2021. Proba la alegere: Fizică - profil tehnologic
Barem BAC 2021. Proba la alegere: Fizică - profil tehnologic

Barem BAC 2021. Proba la alegere: Fizică - profil tehnologic
Barem BAC 2021. Proba la alegere: Fizică - profil tehnologic

Barem BAC 2021. Proba la alegere: Fizică - profil tehnologic
Barem BAC 2021. Proba la alegere: Fizică - profil tehnologic

Barem BAC 2021. Proba la alegere: Fizică- profil teoretic

Barem BAC 2021. Proba la alegere: Fizică- profil teoretic
Barem BAC 2021. Proba la alegere: Fizică- profil teoretic

Barem BAC 2021. Proba la alegere: Fizică- profil teoretic
Barem BAC 2021. Proba la alegere: Fizică- profil teoretic

Barem BAC 2021. Proba la alegere: Fizică- profil teoretic
Barem BAC 2021. Proba la alegere: Fizică- profil teoretic

Barem BAC 2021. Proba la alegere: Fizică- profil teoretic
Barem BAC 2021. Proba la alegere: Fizică- profil teoretic

Barem BAC 2021. Proba la alegere: Fizică- profil teoretic
Barem BAC 2021. Proba la alegere: Fizică- profil teoretic

Barem BAC 2021. Proba la alegere: Informatică -specializare matematică-informatică 

Barem BAC 2021. Proba la alegere: Informatică -specializare matematică-informatică 
Barem BAC 2021. Proba la alegere: Informatică -specializare matematică-informatică 

Barem BAC 2021. Proba la alegere: Informatică -specializare matematică-informatică 
Barem BAC 2021. Proba la alegere: Informatică -specializare matematică-informatică 

Barem BAC 2021. Proba la alegere: Informatică – specializare științe ale naturii

Barem BAC 2021. Proba la alegere: Informatică - specializare științe ale naturii
Barem BAC 2021. Proba la alegere: Informatică - specializare științe ale naturii

Barem BAC 2021. Proba la alegere: Informatică - specializare științe ale naturii
Barem BAC 2021. Proba la alegere: Informatică - specializare științe ale naturii

Barem BAC 2021. Proba la alegere: Chimie organică

Barem BAC 2021. Proba la alegere: Chimie organică
Barem BAC 2021. Proba la alegere: Chimie organică

Barem BAC 2021. Proba la alegere: Chimie anorganică

Barem BAC 2021. Proba la alegere: Chimie anorganică
Barem BAC 2021. Proba la alegere: Chimie anorganică

Barem BAC 2021. Proba la alegere: Anatomie umană

Barem BAC 2021. Proba la alegere: Anatomie umană
Barem BAC 2021. Proba la alegere: Anatomie umană

Barem BAC 2021. Proba la alegere: Anatomie umană
Barem BAC 2021. Proba la alegere: Anatomie umană

Barem BAC 2021. Proba la alegere: Biologie vegetală

Barem BAC 2021. Proba la alegere: Biologie vegetală
Barem BAC 2021. Proba la alegere: Biologie vegetală

Barem BAC 2021. Proba la alegere: Biologie vegetală
Barem BAC 2021. Proba la alegere: Biologie vegetală

Citeste si: În ce ape tulburi se află, în prezent, Cornel Pasat și soția sa, Bianca? Celebrul dansator a dat cărțile pe față și în ceea ce privește un conflict mai vechi cu CRBL! "Minus la calitatea umană!" - kfe

Citeste si: Alimente bogate in B12. Surse de vitamina B12 - catena.ro

Citeste si: Un tânăr de 28 de ani a fost găsit mort într-un apartament. Anchetatorii, șocați de ceea CE AU VĂZUT în momentul când au intrat în casă. Vecinii nu și-ar fi imaginat o astfel de TRAGEDIE chiar în apro

Reguli Bac 2021

  • Examenul de bacalaureat are o serie de reguli stricte pe care candidații trebuie să le respecte, pentru a nu fi eliminați.
  • La Bac 2021, elevii de liceu nu au voie să intre în sala de examen având în posesie telefoane mobile, căști audio, mijloace electronice de calcul sau de comunicare ghiozdane, rucsace, sacoșe, poșete manuale, cărți, dicționare, culegeri, formulare, memoratoare notițe, însemnări, rezumate, ciorne lucrări ale altor candidați sau orice tip de document ce ar putea fi folosit pentru rezolvarea subiectelor.
  • Tinerii care se prezintă la examenul de Bacalaureat sunt obligați să lase toate obiectele menționate mai sus în sala de depozitare stabilită de comisia de bacalaureat în acest scop.
  • Elevii claselor terminale de liceu care refuză să depoziteze obiectele nu vor fi primiți în sala de examen și nu pot promova Bacalaureatul.
  • În timpul examenului, candidații nu au voie să vorbească între ei sau cu exteriorul, să copieze, să transmită materiale care permit copiatul sau să schimbe între ei foi din lucrare, ciorne, notițe sau alte materiale care ar putea fi folosite pentru rezolvarea subiectelor, pentru comunicare între candidați sau cu exteriorul.

Sesiunea iunie – iulie 2021

31 mai-4 iunie 2021: Înscrierea candidaților la prima sesiune de examen

4 iunie 2021: Încheierea cursurilor pentru clasa a XII-a/a XIII-a

28 iunie 2021: Limba și literatura română, proba E a) proba scrisă

29 iunie 2021: Proba obligatorie a profilului, proba E.c) proba scrisă

30 iunie 2021: Proba la alegere a profilului și specializării, proba E.d) proba scrisă

Citeste si: Mesaje și urări pentru absolvenți. Ce să le transmiți celor care au terminat clasa a VIII-a, liceul și facultatea

1 iulie 2021: Limba și literatura maternă, proba E.b) proba scrisă

5 iulie 2021: Afișarea rezultatelor la probele scrise până la ora 12:00 și depunerea contestațiilor în intervalul orar 12:00-18:00

6-9 iulie 2021: Rezolvarea contestațiilor

9 iulie 2021: Afișarea rezultatelor finale

Sesiunea august – septembrie

Elevii claselor terminale de liceu vor da examenul de bacalaureat în perioada iunie –iulie 2021, iar cei care nu vor promova din prima mai au o șansă în cea de-a doua sesiune, când examenul se va susține în perioada august-septembrie.

19 – 26 iulie 2021 – Înscrierea candidaților la a doua sesiune de examen, inclusiv a candidaților care au promovat examenele de corigențe

16 august 2021 – Limba și literatura română – proba E.a) – proba scrisă

17 august 2021 – Proba obligatorie a profilului – proba E.c) – proba scrisă

18 august 2021 – Proba la alegere a profilului și specializării – proba E.d) – proba scrisă

Citeste si: Admitere 2021 Facultatea de Drept, din cadrul Universității București. Când are loc examenul și ce subiecte vor avea viitorii studenți la Drept

19 august 2021 – Limba și literatura maternă – proba E.b) – proba scrisă

31 august 2021 – Afișarea rezultatelor la probele scrise (până la ora 12:00) și depunerea contestațiilor (orele 12:00 – 18:00)

1- 3 septembrie 2021 – Rezolvarea contestațiilor

3 septembrie 2021 – Afișarea rezultatelor finale la BAC 2021

 

SURSE:ziarulunirea.roedupedu.ro