WowNews logo WOWnews
Stories
Subiecte la Geografie, Filosofie, Sociologie, Logică, Economie şi Psihologie la BAC 2021

Actualitate

BACALAUREAT 2021. Subiecte și barem proba la alegere, profil uman: Geografie, Filosofie, Sociologie, Logică, Economie şi Psihologie la BAC 2021

Ce subiecte au primit elevii claselor a 12-a și a 13-a la proba la alegere, la examenul de Bacalaureat 2021?

Absolvenții claselor a XII-a şi a XII-a au susținut miercuri, 30 iunie, proba la alegere a profilului și specializării la examenul de Bacalaureat 2021. Candidații de la profilul uman au avut de ales dintre următoarele materii: Geografie, Filosofie, Sociologie, Logică, Economie şi Psihologie. 

Subiecte la Geografie, Filosofie, Sociologie, Logică, Economie şi Psihologie la BAC 2021

Ministerul Educației va publica subiecte și baremul de corectare la Geografie, Filosofie, Sociologie, Logică, Economie şi Psihologie pentru BAC 2021, după încheierea examenului.

Citeste si: A sosit răspunsul mult așteptat! Mama Andreei Cuciuc, Diana, a răspuns în detaliu la preavizul pe care l-a primit de la jurist, în numele lui Nicolae și al lui Cristian Botgros: "Vă informez despre po

Citeste si: Admitere 2021 Universitatea de Medicină și Farmacie „Carol Davila”. Când este perioada de înscriere la Medicină

Peste 133.000 de absolvenţi de liceu vor susţine examenul de Bacalaureat 2021 în 802 centre. Pentru susţinerea probelor scrise s-au înscris 133.663 de candidaţi, dintre care 114.137 de candidaţi din promoţia curentă, iar 19.526 de candidaţi din promoţiile anterioare.

Subiecte BAC 2021. Proba la alegere: Geografie

Subiecte BAC 2021. Proba la alegere: Geografie
Subiecte BAC 2021. Proba la alegere: Geografie

Subiecte BAC 2021. Proba la alegere: Geografie
Subiecte BAC 2021. Proba la alegere: Geografie

Subiecte BAC 2021. Proba la alegere: Geografie
Subiecte BAC 2021. Proba la alegere: Geografie

Subiecte BAC 2021. Proba la alegere: Geografie
Subiecte BAC 2021. Proba la alegere: Geografie

Subiecte BAC 2021. Proba la alegere: Economie

Subiecte BAC 2021. Proba la alegere: Economie
Subiecte BAC 2021. Proba la alegere: Economie

Subiecte BAC 2021. Proba la alegere: Economie
Subiecte BAC 2021. Proba la alegere: Economie

Subiecte BAC 2021. Proba la alegere: Filosofie

Subiecte BAC 2021. Proba la alegere: Filosofie
Subiecte BAC 2021. Proba la alegere: Filosofie

Subiecte BAC 2021. Proba la alegere: Filosofie
Subiecte BAC 2021. Proba la alegere: Filosofie

Subiecte BAC 2021. Proba la alegere: Filosofie
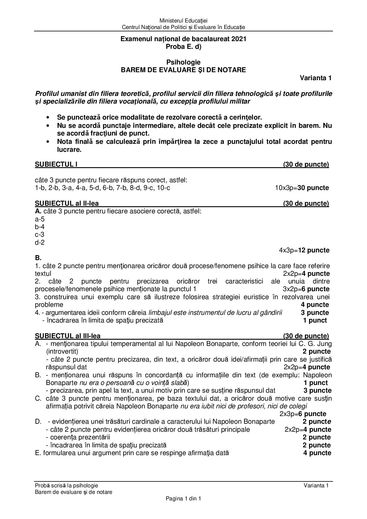
Subiecte BAC 2021. Proba la alegere: Psihologie

Subiecte BAC 2021. Proba la alegere: Psihologie

Subiecte BAC 2021. Proba la alegere: Psihologie
Subiecte BAC 2021. Proba la alegere: Psihologie

Subiecte BAC 2021. Proba la alegere: Psihologie
Subiecte BAC 2021. Proba la alegere: Psihologie

Subiecte BAC 2021. Proba la alegere: Psihologie
Subiecte BAC 2021. Proba la alegere: Psihologie

 

Subiecte BAC 2021. Proba la alegere: Logică şi argumentare

Subiecte BAC 2021. Proba la alegere: Logică şi argumentare
Subiecte BAC 2021. Proba la alegere: Logică şi argumentare

Subiecte BAC 2021. Proba la alegere: Logică şi argumentare
Subiecte BAC 2021. Proba la alegere: Logică şi argumentare

Subiecte BAC 2021. Proba la alegere: Logică şi argumentare
Subiecte BAC 2021. Proba la alegere: Logică şi argumentare

Subiecte BAC 2021. Proba la alegere: Sociologie

Subiecte BAC 2021. Proba la alegere: Sociologie
Subiecte BAC 2021. Proba la alegere: Sociologie

Subiecte BAC 2021. Proba la alegere: Sociologie
Subiecte BAC 2021. Proba la alegere: Sociologie

Subiecte BAC 2021. Proba la alegere: Sociologie
Subiecte BAC 2021. Proba la alegere: Sociologie

Barem BAC 2021. Proba la alegere: Geografie

Barem BAC 2021. Proba la alegere: Geografie
Barem BAC 2021. Proba la alegere: Geografie

Barem BAC 2021. Proba la alegere: Geografie
Barem BAC 2021. Proba la alegere: Geografie

 

Barem BAC 2021. Proba la alegere: Economie

Barem BAC 2021. Proba la alegere: Economie
Barem BAC 2021. Proba la alegere: Economie

Citeste si: Neînțelegerile dintre Marina Almășan și Georgică Cornu nu încetează nici în zilele noastre! Acum totul a pornit de la... un acoperiș: "Cine e Marina Almășan și ce cadouri trebuie să-i dau Marinei Almă

Citeste si: Durere in partea stanga a corpului – cauze si remedii - catena.ro

Citeste si: Cristian Botgros i-a cerut ceva ce niciun tată nu ar vrea SĂ AUDĂ VREODATĂ: "Am fost supărat și am plâns.Trebuie să își asume" Cuvintele fiului său din spital i-au rămas întipărite în suflet: "Îmi spu

Barem BAC 2021. Proba la alegere: Filosofie

Barem BAC 2021. Proba la alegere: Filosofie
Barem BAC 2021. Proba la alegere: Filosofie

Barem BAC 2021. Proba la alegere: Psihologie

Barem BAC 2021. Proba la alegere: Psihologie
Barem BAC 2021. Proba la alegere: Psihologie

Barem BAC 2021. Proba la alegere: Logică şi argumentare

Barem BAC 2021. Proba la alegere: Logică şi argumentare
Barem BAC 2021. Proba la alegere: Logică şi argumentare

Barem BAC 2021. Proba la alegere: Logică şi argumentare
Barem BAC 2021. Proba la alegere: Logică şi argumentare

Barem BAC 2021. Proba la alegere: Sociologie

Barem BAC 2021. Proba la alegere: Sociologie
Barem BAC 2021. Proba la alegere: Sociologie

Calendar BAC 2021

Ministerul Educației a decis ca probele de competențe de la Bacalaureat 2021 să nu mai fie susținute fizic de elevi, ci să fie echivalate. Astfel, probele de evaluare a competențelor, programate în perioada 14-16 iunie, la Limba română, 16-17 iunie, la Limba maternă, 18-23 iunie, Competențe digitale, și 23-25 iunie, Limbă străină vor fi echivalate potrivit unui model de echivalare și recunoaștere folosit în anul trecut.

Citeste si: Admitere 2021 Academia de Studii Economice, București. Calendarul admiterii, oferte de locuri, ce trebuie să conțină dosarul de înscriere

„Pentru anul școlar 2020 – 2021, probele de evaluare a competențelor lingvistice de comunicare orală în limba română, probele de evaluare a competențelor lingvistice de comunicare orală în limba maternă, pentru elevii care au urmat studiile liceale într-o limbă a minorităților naționale, probele de evaluare a competențelor lingvistice într-o limbă de circulație internațională studiată pe parcursul învățământului liceal și probele de evaluare a competențelor digitale se echivalează/se recunosc conform metodologiei aprobate prin ordin al ministrului educației, în termen de 15 zile de la intrarea în vigoare a prezentei ordonanțe de urgență”, se arată în proiectul Ministerului Educaţiei.

Sesiunea iunie – iulie 2021

  • 31 mai-4 iunie 2021: Înscrierea candidaților la prima sesiune de examen
  • 4 iunie 2021: Încheierea cursurilor pentru clasa a XII-a/a XIII-a
  • 28 iunie 2021: Limba și literatura română, proba E a) proba scrisă
  • 29 iunie 2021: Proba obligatorie a profilului, proba E.c) proba scrisă
  • 30 iunie 2021: Proba la alegere a profilului și specializării, proba E.d) proba scrisă
  • 1 iulie 2021: Limba și literatura maternă, proba E.b) proba scrisă
  • 5 iulie 2021: Afișarea rezultatelor la probele scrise până la ora 12:00 și depunerea contestațiilor în intervalul orar 12:00-18:00
  • 6-9 iulie 2021: Rezolvarea contestațiilor
  • 9 iulie 2021: Afișarea rezultatelor finale

Sesiunea august – septembrie

Elevii claselor terminale de liceu vor da examenul de bacalaureat în perioada iunie –iulie 2021, iar cei care nu vor promova din prima mai au o șansă în cea de-a doua sesiune, când examenul se va susține în perioada august-septembrie.

Citeste si: Mesaje și urări pentru absolvenți. Ce să le transmiți celor care au terminat clasa a VIII-a, liceul și facultatea

  • 19 – 26 iulie 2021 – Înscrierea candidaților la a doua sesiune de examen, inclusiv a candidaților care au promovat examenele de corigențe
  • 16 august 2021 – Limba și literatura română – proba E.a) – proba scrisă
  • 17 august 2021 – Proba obligatorie a profilului – proba E.c) – proba scrisă
  • 18 august 2021 – Proba la alegere a profilului și specializării – proba E.d) – proba scrisă
  • 19 august 2021 – Limba și literatura maternă – proba E.b) – proba scrisă
  • 31 august 2021 – Afișarea rezultatelor la probele scrise (până la ora 12:00) și depunerea contestațiilor (orele 12:00 – 18:00)
  • 1- 3 septembrie 2021 – Rezolvarea contestațiilor
  • 3 septembrie 2021 – Afișarea rezultatelor finale la BAC 2021

 

SURSE: edupedu.ro