WowNews logo WOWnews
Stories
Simulare Bacalaureat 2022. Modele de subiecte la Proba la alegere profil uman
Simulare Bacalaureat 2022. Modele de subiecte la Proba la alegere profil uman

Actualitate

Simulare BAC 2022 proba la alegere. Edu.ro a publicat modele de subiecte la Geografie, Filosofie, Logică, Economie, Psihologie sau Sociologie la simulare Bacalaureat 2022

Modele de subiecte simulare Bacalaureat 2022. Proba la alegere profil uman.

Simulare Bacalaureat 2022. Modele de subiecte publicate de edu.ro la Proba la alegere profil uman. Teste de antrenament și bareme de corectare pentru toate profilurile. 

Ministerul Educației a transmis că simulările pentru examenele de la Bacalaureat 2022 vor avea loc în perioada martie-aprilie 2022. Potrivit Ministerului Educației, la Simularea Bacalaureatului 2022, probele vor începe la ora 9:00, însă elevii vor putea intra în săli de la ora 8:30. 

Citeste si: Cum decurge în prezent, relația dintre Mariana Moculescu și fiica sa, Nidia? Aceasta nu a fost interesată de moștenirea lăsată în urmă de fostul soț, Horia Moculescu! - kfetele.ro

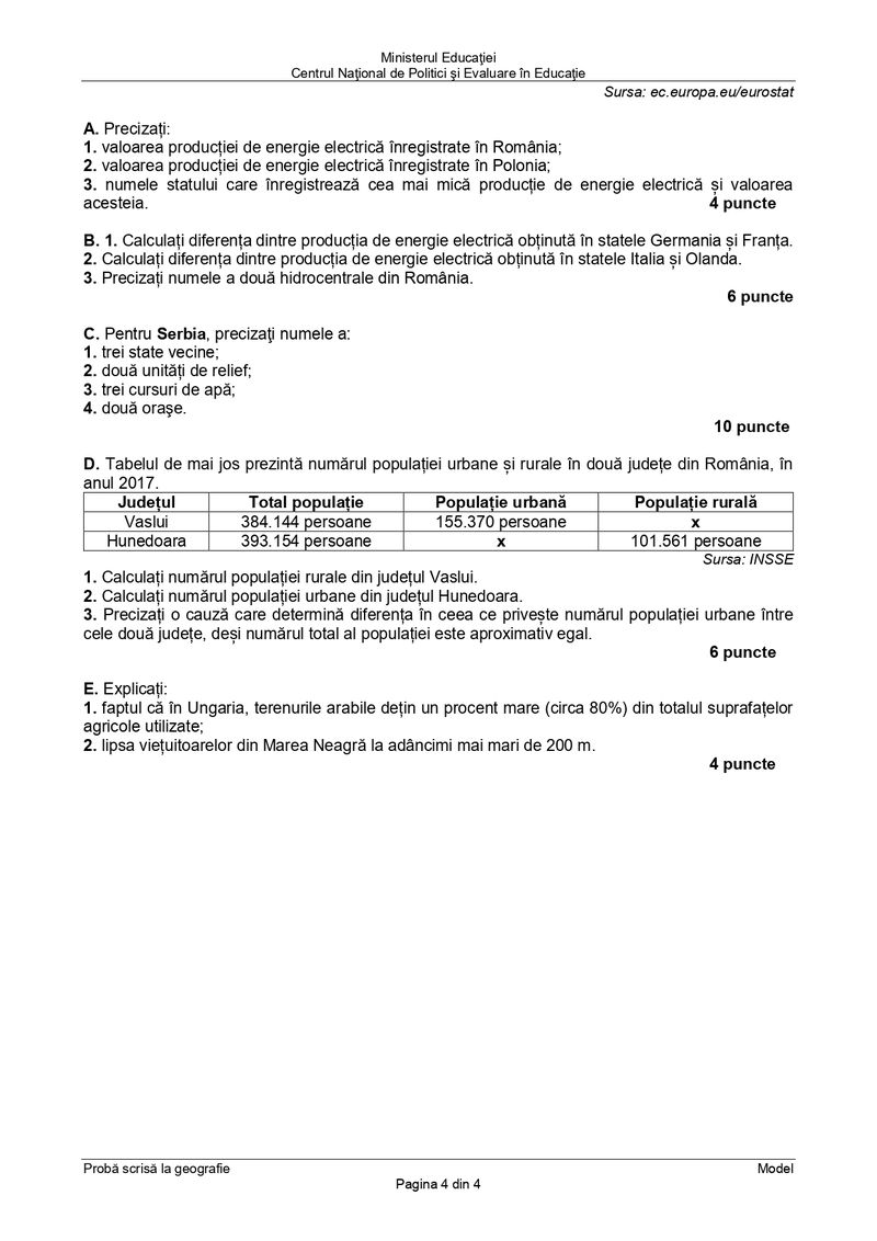
Simulare Bacalaureat 2022. Model de subiect la Geografie

Citeste si: Simulare Bacalaureat 2022. Modele de subiecte la Istorie

Simulare Bacalaureat 2022. Model de subiect la Filosofie

Modele subiecte simulare Bacalaureat 2022. Proba la alegere
Modele subiecte simulare Bacalaureat 2022. Proba la alegere[Sursa foto: edu.ro]

Citeste si: Calendar Simulare BAC 2022. Vezi pe ce dată au loc probele pentru elevii de liceu

Simulare Bacalaureat 2022. Model de subiect la Logică

Citeste si: Calendar Simulare Evaluare Națională 2022. Vezi pe ce dată au loc probele la matematică și la limba română

Simulare Bacalaureat 2022. Model de subiect la Economie

Modele subiecte simulare Bacalaureat 2022. Proba la alegere
Modele subiecte simulare Bacalaureat 2022. Proba la alegere[Sursa foto: edu.ro]

Modele subiecte simulare Bacalaureat 2022. Proba la alegere
Modele subiecte simulare Bacalaureat 2022. Proba la alegere[Sursa foto: edu.ro]

Simulare Bacalaureat 2022. Model de subiect la Psihologie

Simulare Bacalaureat 2022. Model de subiect la Sociologie

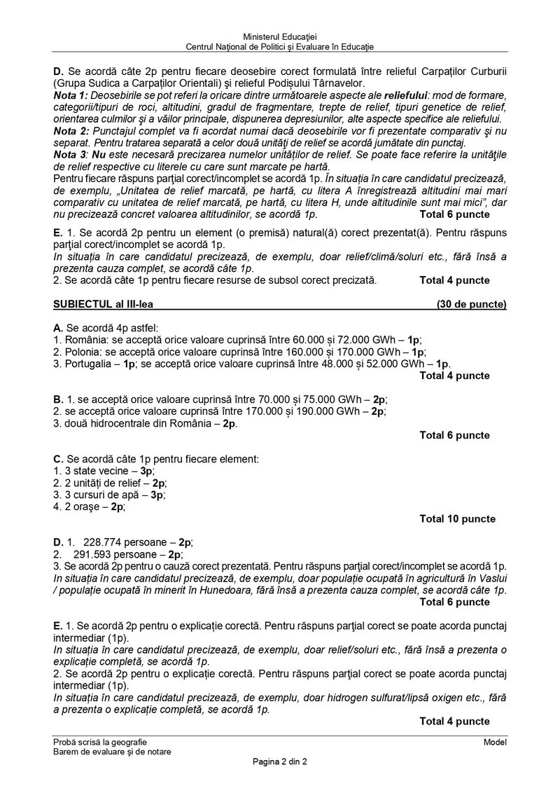
Simulare Bacalaureat 2022. Barem de corectare Geografie

Simulare Bacalaureat 2022. Barem de corectare Filosofie

Simulare Bacalaureat 2022. Barem de corectare Logică

Simulare Bacalaureat 2022. Barem de corectare Economie

Barem subiecte simulare Bacalaureat 2022. Proba la alegere
Barem subiecte simulare Bacalaureat 2022. Proba la alegere[Sursa foto: edu.ro]

Simulare Bacalaureat 2022. Barem de corectare Psihologie

Simulare Bacalaureat 2022. Barem de corectare Sociologie

Când revin elevii la școală, după vacanța de Paște?

Elevii din învățământul preșcolar, primar, gimnazial și liceal au intrat în vacanța de Paște la data de 15 aprilie 2022 și vor reveni în bănci pe 2 mai 2022.

Semestrul doi din anul școlar 2021-2022 a început pe 17 ianuarie 2022 și se va încheia pe 10 iunie 2022, atunci când elevii vor intra în vacanța de vară.

Semestrul II (17 ianuarie 2022 – 10 iunie 2022) este structurat astfel:

  • 17 ianuarie 2022 – 14 aprilie 2022 – cursuri
  • 15 aprilie 2022 – 1 mai 2022 – vacanța de primăvară
  • 2 mai 2022 – 10 iunie 2022 – cursuri
  • 11 iunie 2022 – vacanța de vară

Calendar Bacalaureat 2022. Sesiunea de toamnă

  • 18 – 25 iulie 2022: Înscrierea candidaților la a doua sesiune de examen, inclusiv a candidaților care au promovat examenele de corigențe
  • 16 august 2022 Limba și literatura română — proba E.a) — proba scrisă
  • 17 august 2022 Proba obligatorie a profilului — proba E.c) — proba scrisă
  • 18 august 2022 Proba la alegere a profilului și specializării —– proba E.d) — proba scrisă
  • 19 august 2022 Limba și literatura maternă — proba E.b) — proba scrisă
  • 22 – 23 august 2022 Evaluarea competențelor lingvistice de comunicare orală în limba română — proba A
  • 24 august 2022 Evaluarea competențelor lingvistice de comunicare orală în limba maternă — proba B 25 august 2022 Evaluarea competențelor digitale — proba D
  • 26 și 29 august 2022 Evaluarea competențelor lingvistice într-o limbă de circulație internațională — proba C
  • 31 august 2022: Afișarea rezultatelor la probele scrise (până la ora 12:00) și depunerea contestațiilor (orele 12:00 – 18:00)
  • 1 – 2 septembrie 2022: Rezolvarea contestațiilor
  • 3 septembrie 2022: Afișarea rezultatelor finale

Sursa: edu.ro